Мензуральная нотация

Категории словаря
термины и понятия, теория музыки
Просмотров
0

Мензуральная нотация (от лат. mensura — мера; букв. — размеренная нотация) — система записи музыкальных звуков, применявшаяся в 13–16 вв. В отличие от более ранних невменной нотации (см. Невмы), к-рая указывала лишь направление движения мелодии, и сменившей её хоральной нотации, в к-рой обозначалась только высота звуков, М. н. давала возможность фиксировать и высоту, и относительную длительность звуков. Это стало необходимым с развитием многоголосия, когда в мотетах наметился отход от одновременного произнесения каждого слога текста во всех голосах. M. я. разрабатывали и описывали Йоханнес де Гарландиа, Франко Кёльнский, Вальтер Одингтон, Иероним Моравский (13 в.), Филипп де Витри, де Мурис, Маркетто Падуанский (14 в.), Йоханнес Тинкторис (15–16 вв.), Франкино Гаффори (16 в.) и др.

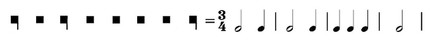
К кон. 13 в. для обозначения длительности звуков и пауз в М. н. применялись следующие знаки (даны в порядке убывания длительности; все термины — латинские):

В 14 в. вошли в употребление ещё более мелкие длительности — minima

(самая малая) и semiminima

(полуминима).

Счётной единицей длительностей вначале была нота longa. Различали ноту longa perfecta (совершенную), равнявшуюся трём brevis, и ноту longa imperfecta (несовершенную), равнявшуюся двум brevis. С сер. 14 в. понятия perfecta — трёхдольного деления и imperfecta — двухдольного — были распространены и на соотношения др. «соседних» по месту в ряду длительностей нот; только ноты duplex longa (позднее maxima) и minima всегда были двухдольными. Эти виды ритмич. деления назывались мензурами. Для мензур каждой длительности существовали особые названия. Так, мензура longa называлась modus, мензура brevis — tempus, мензура semibrevis — prolatio. Позднее счётным временем стала нота brevis, отвечающая совр. целой ноте; виды её мензур, т. е. tempus perfectum (деление на три semibrevis) и tempus imperfectum (деление на два semibrevis), обозначались соответственно знаками

и

; последнее обозначение применяется и ныне для размера 4/4. Знаки эти помещались в начале нотной строки или в середине в случаях смены мензуры. С 14 в. единицей исчисления длительностей в М. н. стала нота semibrevis. Её подразделение на три доли minima обозначалось термином prolatio major (perfecta), на две — термином prolatio minor (imperfecta). В качестве отличительного знака употреблялась точка в знаке tempus’a. Это позволяло кратко обозначить все четыре применявшиеся тогда осн. вида соподчинения длительностей:

1) brevis и semibrevis — трёхдольные, т. е. tempus perfectum, prolatio major (отвечает совр. размерам 9/4, 9/8) — знак

; 2) brevis — трёхдольный, semibrevis — двухдольный, т. е. tempus perfectum, prolatio minor (отвечает совр. размерам 3/4, 3/8) — знак

; 3) brevis — двухдольный, semibrevis — трёхдольный, т. е. tempus imperfectum, prolatio major (отвечает совр. размерам 6/4, 6/8) — знак

; 4) brevis — двухдольный, semibrevis — двухдольный, т. е. tempus imperfectum, prolatio minor (отвечает совр. размерам 2/4, 4/4).

Приведённые выше знаки и обозначения не обеспечивали записи всех возможных видов ритмич. организации звуков. В связи с этим были разработаны правила, к-рые связывали конкретную длительность ноты и с тем, между какими нотами она располагалась. Так, правило imperfectio гласило, что если в трёхдольном членении за относительно протяжённой нотой следует нота соседней меньшей длительности, а затем идёт снова такая же по протяжённости, как первая, или если за нотой следует более трёх нот соседней меньшей длительности, то длительность данной ноты уменьшается на одну треть:

Правило alteratio (альтерации, изменения) предписывало увеличение вдвое длительности второй из двух стоящих рядом одинаковых по длительности нот brevis, позднее и semibrevis, при трёхдольном членении:

Отд. голоса многогол. сочинений нередко записывались в ту пору таким образом, что счётные единицы в них оказывались различными. Поэтому при сведении голосов в одно целое требовалось ритмич. преобразование отд. голосов. При этом голоса, записанные более крупными длительностями, подвергались «уменьшению» (diminutio). Наиболее распространённым было уменьшение всех длительностей данного голоса вдвое (рrоportio dupla). Оно обозначалось вертикальной чертой, проходящей через знак мензуры — , или обращением этого знака — , или же числовой дробью 2/1. Применялись и др. виды diminutio. Отмена обозначенного дробью diminutio осуществлялась перемещением числителя и знаменателя (напр., ½ после 2/1). Diminutio 2/1, относившееся ко всем голосам, представляло простое ускорение темпа.

Поскольку применение разл. видов imperfectio и diminutio усложняло нотную запись, делались попытки облегчить чтение нот введением новых нотных знаков. Одновременно в связи с переходом от пергамента к бумаге стали заменять «чёрные» нотные знаки «белыми». Процесс этот особенно интенсивно проходил в Италии. К началу 16 в. здесь сложилась следующая система нотных знаков:

Постепенно для обозначения семиминимы и более мелких длительностей утвердились чёрные нотные знаки, а для соответствующих фузе и семифузе пауз — первые из двух знаков. Эта система знаков составила основу совр. системы нотного письма. Уже в 15 в. нередко применяли округлённую запись нот, в 16 в. она перешла и в нотную печать. К концу 16 в. повсеместно одержало верх соподчинение длительностей в отношении l: 2; это обозначило отказ от М. н. и переход к совр. системе нотной записи.

Литература: Сакетти Л. A., Очерк всеобщей истории музыки, СПБ, 1912; Грубер Р. И., История музыкальной культуры, т. 1, ч. 2, М.-Л., 1941; Веllеrmann H., Die Mensuralnoten und Takteeichen des XV. und XVI. Jahrhunderts, В., 1858, 1963; Jacobsthal G., Die Mensuralnotenschrift des 12. und 13. Jahrhunderts, В., 1871; Riemann H., Studien zur Geschichte der Notenschrift, Lpz., 1878; Wolf J., Geschichte der Mensuralnotation von 1250–1460, Bd 1–3, Lpz., 1904, Hildesheim — Wiesbaden, 1965; же, Handbuch der Notationskunde, Bd 1, Lpz., 1913; его же, Die Tonschriften, Breslau, 1924; Chybinsкi A., Teoria mensuralna…, Kr., 1910; Miсhalitsсhkе A. M., Studien zur Entstehung und Fruhentwicklung der Mensuralnotation, «ZfMw», 1930, Jahrg. 12, H. 5; Rarrish С., The notation of polyphonie music, N.Y.,1958; Fischer К. v. , Zur Entwicklung der italienischen Trecento-Notation, «AfMw», 1959, Jahrg. 16; Apel W., Die Notation der polyphonen Musik, 900–1600, Lpz., 1962; Gьnther R., Die Mensuralnotation des Ars nova, «AfMw», 1962–63. (Jahrg. 20), H. 1.

В. А. Вахромеев
Источник: Музыкальная энциклопедия, 1973—1982 гг.

Персоналии

Вам может быть интересно

Рио-де-Жанейро музыкальный

Национальные культуры

Enchainement, аншенман

Балет и танец