Гемиола

Категории словаря
теория музыки
Просмотров
0

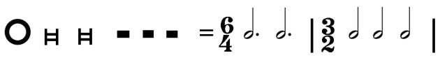
Гемиола (от греч. miolios — полуторный) — в мензуральной нотации начиная с 15 века группа из трёх нот среди групп из двух нот той же суммарной длительности. Записывалась особыми, выделяющимися нотами (цветными в чёрной нотации, зачернёнными — в белой), напр.:

Позднее термином «гемиола» стали обозначать двухдольные мотивы в трёхдольных тактах, в частности размещение трёх двухдольных мотивов в двух трёхдольных тактах. В 19 в. гемиола часто встречается в скерцо, вальсах:

М. И. Глинка. «Вальс-фантазия».

Литература: Collins M. В., The performance of coloration, sesquialtera and hemiola (1450–1750), «JAMS», XVII, 1964.

B. H. Xoлoпoва
Источник: Музыкальная энциклопедия, 1973—1982 гг.

Вам может быть интересно

Трембита

Музыкальные инструменты

Вертикаль в музыке

Теория музыки